The vitality of red blood cells depends on the process control of glucose homeostasis, including concentration of 10 – 12 mM. We present a comprehensive study of human erythrocytes suspended in buffer solutions with varying concentrations of D-glucose at room temperature, using microwave dielectric spectroscopy (0.5 GHz – 50 GHz) and cell deformability characterization (the Elongation ratio). By use of mixture formulas, the contribution of the cytoplasm to the dielectric spectra was isolated. It reveals a strong dependence on the concentration of buffer D-Glucose. Tellingly, the concentration 10 – 12 mM is revealed as a critical point in the behavior. The dielectric response of cytoplasm depends on dipole-matrix interactions between water structures and moieties like ATP, produced during glycolysis. Subsequently, it is a marker of cellular health. One would hope that this mechanism could provide a new vista on non-invasive glucose monitoring.
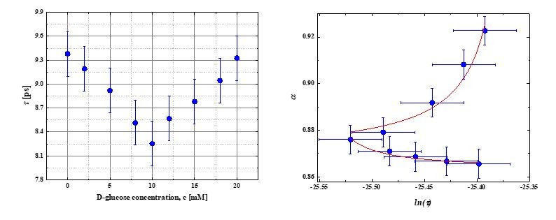
Fig.6 In panel (a) is shown the experimental relaxation times for one cell in the presence of varying buffer concentrations of D-glucose. In panel (b) α(lnτ) is shown dependence for one cell at 25 °C.
